适用年级:{{getGradeNameByProperty('高三|高考模拟|北京|2010年')}} 试卷类型:{{getTestPaperTypeName('高三|高考模拟|北京|2010年')}} 使用省份:{{getAreaName('高三|高考模拟|北京|2010年')}}
试卷年份:{{getYear('高三|高考模拟|北京|2010年')}}上传日期:2010-04-06题数:20
提示:单击题文可显示答案与解析。
题号:1319006
题型:选择题
难易度:一般
日期:2010-04-06
来源:北京市朝阳区2010届高三一模数学(理科)
题号:1319007
题型:选择题
难易度:一般
日期:2010-04-06
来源:北京市朝阳区2010届高三一模数学(理科)
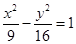
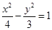
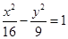
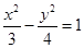
【题文】已知点

是双曲线

渐近线上的一点,

是左、右两个焦点,若

,则双曲线方程为
题号:1319107
题型:选择题
难易度:一般
日期:2010-04-06
来源:北京市朝阳区2010届高三一模数学(理科)
【题文】下列函数中,最小正周期为

,且图象关于直线

对称的是
题号:1319108
题型:选择题
难易度:一般
日期:2010-04-06
来源:北京市朝阳区2010届高三一模数学(理科)
【题文】复数

等于
题号:3496339
题型:选择题
难易度:一般
日期:2012-06-21
来源:北京市朝阳区2010届高三一模数学(理科)
【题文】右图是2010年青年歌手大奖赛中,七位评委为甲、乙两
名选手打出的分数的茎叶图(其中
m为数字0~9中的
一个),去掉一个最高分和一个最低分后,甲、乙两名选
手得分的平均数分别为
a1,
a2,则一定有
| A.a1>a2 | B.a2>a1 |
| C.a1=a2 | D.a1,a2的大小与m的值有关 |

题号:3496340
题型:选择题
难易度:一般
日期:2012-06-04
来源:北京市朝阳区2010届高三一模数学(理科)
【题文】一个简单几何体的正视图、侧视图如图所示,则其俯视图不可能为①长方形;②正方形;③圆;④椭圆. 其中正确的是

题号:3496341
题型:选择题
难易度:一般
日期:2012-07-24
来源:北京市朝阳区2010届高三一模数学(理科)
【题文】在区间[-

,

]内随机取两个数分别记为
a,
b,则使得函数

有零点的概率为
题号:3496344
题型:选择题
难易度:一般
日期:2010-04-06
来源:北京市朝阳区2010届高三一模数学(理科)
【题文】设

表示

,

两者中的较小的一个,若函数

,则满足

的

的集合为
题号:1319001
题型:填空题
难易度:一般
日期:2010-04-06
来源:北京市朝阳区2010届高三一模数学(理科)
【题文】一个数字生成器,生成规则如下:第1次生成一个数

,以后每次生成的结果是将上一次生成的每一个数

生成两个数,一
个是

,另一个是

.设第

次生成的数的个数为

,
则数列

的前

项和
;若

,前

次
生成的所有数中不同的数的个数为

,则
.
题号:1319002
题型:填空题
难易度:一般
日期:2010-04-06
来源:北京市朝阳区2010届高三一模数学(理科)
【题文】如图,圆

是

的外接圆,过点C的切线交

的延长线于点

,

,

.则

的长为
;

的长为
.

题号:1319003
题型:填空题
难易度:一般
日期:2010-04-06
来源:北京市朝阳区2010届高三一模数学(理科)
题号:1319004
题型:填空题
难易度:一般
日期:2010-04-06
来源:北京市朝阳区2010届高三一模数学(理科)
【题文】圆

被直线

截得的劣弧所对的圆心角的大小为
.
题号:1319005
题型:填空题
难易度:一般
日期:2010-04-06
来源:北京市朝阳区2010届高三一模数学(理科)
【题文】已知圆的极坐标方程为

,则圆心的直角坐标是
;半径长为
.
题号:3496342
题型:填空题
难易度:一般
日期:2012-12-22
来源:北京市朝阳区2010届高三一模数学(理科)
【题文】右边程序框图的程序执行后输出的结果是
.

题号:1318996
题型:解答题
难易度:一般
日期:2010-04-06
来源:北京市朝阳区2010届高三一模数学(理科)
【题文】若一个数列各项取倒数后按原来的顺序构成等差数列,则称这个数列为调和数列.已知数列

是调和数列,对于各项都是正数的数列

,满足


.
(Ⅰ)证明数列

是等比数列;

(Ⅱ)把数列

中所有项按如图所示的规律排成一个三角形
数表,当

时,求第

行各数的和;
(Ⅲ)对于(Ⅱ)中的数列

,证明:

.
题号:1318997
题型:解答题
难易度:一般
日期:2010-04-06
来源:北京市朝阳区2010届高三一模数学(理科)
【题文】(本小题满分13分)
已知函数

,

.
(Ⅰ)求函数

的导函数

;
(Ⅱ)当

时,若函数

是

上的增函数,求

的最小值;
(Ⅲ)当

,

时,函数

在

上存在单调递增区间,求

的取值范围.
题号:1318998
题型:解答题
难易度:一般
日期:2010-04-06
来源:北京市朝阳区2010届高三一模数学(理科)
【题文】(本小题满分14分)
如图,在三棱柱

中,每个侧面均为正方形,

为底边

的中点,

为侧棱

的中点.
(Ⅰ)求证:

∥平面

;
(Ⅱ)求证:

平面

;
(Ⅲ)求直线

与平面

所成角的正弦值.

题号:1318999
题型:解答题
难易度:一般
日期:2010-04-06
来源:北京市朝阳区2010届高三一模数学(理科)
【题文】(本小题满分13分)
在某校组织的一次篮球定点投篮比赛中,两人一对一比赛规则如下:若某人某次投篮命中,则由他继续投篮,否则由对方接替投篮. 现由甲、乙两人进行一对一投篮比赛,甲和乙每次投篮命中的概率分别是

,

.两人共投篮3次,且第一次由甲开始投篮. 假设每人每次投篮命中与否均互不影响.
(Ⅰ)求3次投篮的人依次是甲、甲、乙的概率;
(Ⅱ)若投篮命中一次得1分,否则得0分. 用ξ表示甲的总得分,求ξ的分布列和数学期望.
题号:1319000
题型:解答题
难易度:一般
日期:2010-04-06
来源:北京市朝阳区2010届高三一模数学(理科)
【题文】(本小题满分13分)在

中,角

,

,

所对的边分别为

,

,

,且

,

.
(Ⅰ)求

的值;
(Ⅱ)若

,求

的面积.
题号:3496343
题型:解答题
难易度:一般
日期:2012-08-07
来源:北京市朝阳区2010届高三一模数学(理科)
【题文】(本小题满分13分)
已知中心在原点,焦点在

轴上的椭圆

的离心率为

,且经过点

,过点

的直线

与椭圆

在第一象限相切于点

.
(Ⅰ)求椭圆

的方程;
(Ⅱ)求直线

的方程以及点

的坐标;
(Ⅲ)是否存在过点

的直线

与椭圆

相交于不同的两点

,满足

?若存在,求直线

的方程;若不存在,请说明理由.