适用年级:{{getGradeNameByProperty('高三|高考模拟|湖南|2017年')}} 试卷类型:{{getTestPaperTypeName('高三|高考模拟|湖南|2017年')}} 使用省份:{{getAreaName('高三|高考模拟|湖南|2017年')}}
试卷年份:{{getYear('高三|高考模拟|湖南|2017年')}}上传日期:2017-06-16题数:23
提示:单击题文可显示答案与解析。
题号:3448847
题型:选择题
难易度:一般
日期:2017-03-24
来源:【全国百强校】湖南省长沙市雅礼中学2017届高考模拟试卷(二)数学(理)试题
【题文】某公司为激励创新,计划逐年加大研发资金投入.若该公司2014年全年投入研发资金130万元,在此基础上,每年投入的研发资金比上一年增长12%,则该公司全年投入的研发资金开始超过200万元的年份是(参考数据:

)( )
| A.2017年 | B.2018年 | C.2019年 | D.2020年 |
题号:3799440
题型:选择题
难易度:较难
日期:2017-06-16
来源:【全国百强校】湖南省长沙市雅礼中学2017届高考模拟试卷(二)数学(理)试题
【题文】已知函数

为偶函数,当

时,

.若直线

与曲线

至少有两个交点,则实数

的取值范围是( )
题号:3799441
题型:选择题
难易度:较难
日期:2017-06-16
来源:【全国百强校】湖南省长沙市雅礼中学2017届高考模拟试卷(二)数学(理)试题
【题文】已知

是椭圆

的左焦点,设动点

在椭圆上,若直线

的斜率大于

,则直线

(

为原点)的斜率的取值范围是( )
题号:3799442
题型:选择题
难易度:较难
日期:2017-06-16
来源:【全国百强校】湖南省长沙市雅礼中学2017届高考模拟试卷(二)数学(理)试题
【题文】如图,动点

在正方体

的对角线

上.过点

作垂直于平面

的直线,与正方体表面相交于

.设

,则函数

的图象大致是( )

题号:3799443
题型:选择题
难易度:一般
日期:2017-06-16
来源:【全国百强校】湖南省长沙市雅礼中学2017届高考模拟试卷(二)数学(理)试题
【题文】在如图所示的锐角三角形空地中,有一内接矩形花园(阴影部分),其一边长为

(单位:

).将一颗豆子随机地扔到该空地内,用

表示事件:“豆子落在矩形花园内”,则

的最大值为( )

题号:3799444
题型:选择题
难易度:一般
日期:2017-06-16
来源:【全国百强校】湖南省长沙市雅礼中学2017届高考模拟试卷(二)数学(理)试题
题号:3799445
题型:选择题
难易度:一般
日期:2017-06-16
来源:【全国百强校】湖南省长沙市雅礼中学2017届高考模拟试卷(二)数学(理)试题
【题文】一个多面体的三视图如图所示,其中正视图是正方形,侧视图是等腰三角形,则该几何体的表面积为 ( )

题号:3799446
题型:选择题
难易度:较易
日期:2017-06-16
来源:【全国百强校】湖南省长沙市雅礼中学2017届高考模拟试卷(二)数学(理)试题
【题文】已知数列

是公差为2的等差数列,且

成等比数列,则

( )
题号:3799447
题型:选择题
难易度:一般
日期:2017-06-16
来源:【全国百强校】湖南省长沙市雅礼中学2017届高考模拟试卷(二)数学(理)试题
【题文】已知非零向量

满足

,向量

的夹角为120°,且

,则向量

与

的夹角为 ( )
题号:3799448
题型:选择题
难易度:一般
日期:2017-06-16
来源:【全国百强校】湖南省长沙市雅礼中学2017届高考模拟试卷(二)数学(理)试题
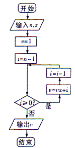
【题文】秦九韶是我国南宋时期的数学家,他在所著的《数书九章》中提出的多项式求值的秦九韶算法,至今仍是比较先进的算法.如图所示的程序框图给出了利用秦九韶算法求某多项式值的一个实例,若输入

的值分别为3,3,则输出

的值为( )

题号:3799449
题型:选择题
难易度:较易
日期:2017-06-16
来源:【全国百强校】湖南省长沙市雅礼中学2017届高考模拟试卷(二)数学(理)试题
【题文】若复数

为纯虚数且

(其中

是虚数单位,

),则

( )
题号:3799450
题型:选择题
难易度:较易
日期:2017-06-16
来源:【全国百强校】湖南省长沙市雅礼中学2017届高考模拟试卷(二)数学(理)试题
【题文】已知

,则“

”是“

”的( )
| A.充分不必要条件 | B.必要不充分条件 | C.充分必要条件 | D.既不充分又不必要条件 |
题号:3799436
题型:填空题
难易度:困难
日期:2017-06-16
来源:【全国百强校】湖南省长沙市雅礼中学2017届高考模拟试卷(二)数学(理)试题
【题文】已知

,设

.若当

时,恒有

,则实数

的取值范围是__________.
题号:3799437
题型:填空题
难易度:较难
日期:2017-06-16
来源:【全国百强校】湖南省长沙市雅礼中学2017届高考模拟试卷(二)数学(理)试题
【题文】在平面直角坐标系

中,以点

为圆心且与直线

相切的所有圆中,半径最大的圆的标准方程为__________.
题号:3799438
题型:填空题
难易度:较易
日期:2017-06-16
来源:【全国百强校】湖南省长沙市雅礼中学2017届高考模拟试卷(二)数学(理)试题
【题文】若变量

满足

,则

的最大值是__________.
题号:3799439
题型:填空题
难易度:较易
日期:2017-06-16
来源:【全国百强校】湖南省长沙市雅礼中学2017届高考模拟试卷(二)数学(理)试题
【题文】用数字1,2,3,4,5组成没有重复数字的五位数,其中偶数的个数为__________.
题号:3799429
题型:解答题
难易度:一般
日期:2017-06-16
来源:【全国百强校】湖南省长沙市雅礼中学2017届高考模拟试卷(二)数学(理)试题
【题文】选修4-5:不等式选讲
已知关于

的不等式

的解集为

.
(1)求实数

的值;
(2)求证:

.
题号:3799430
题型:解答题
难易度:一般
日期:2017-06-16
来源:【全国百强校】湖南省长沙市雅礼中学2017届高考模拟试卷(二)数学(理)试题
【题文】选修4-4:坐标系与参数方程
在平面直角坐标系

中,曲线

的参数方程为

(

为参数).在极坐标系(与平面直角坐标系

取相同的长度单位,且以原点

为极点,以

轴非负半轴为极轴)中,直线

的方程为

.
(1)求曲线

的普通方程及直线

的直角坐标方程;
(2)设

是曲线

上的任意一点,求点

到直线

的距离的最大值.
题号:3799431
题型:解答题
难易度:困难
日期:2017-06-16
来源:【全国百强校】湖南省长沙市雅礼中学2017届高考模拟试卷(二)数学(理)试题
【题文】已知函数

,设

.
(1)判断函数

零点的个数,并给出证明;
(2)首项为

的数列

满足:①

;②

.其中

.求证:对于任意的

,均有

.
题号:3799432
题型:解答题
难易度:较难
日期:2017-06-16
来源:【全国百强校】湖南省长沙市雅礼中学2017届高考模拟试卷(二)数学(理)试题
【题文】已知

,曲线

上任意一点

满足

;曲线

上的点

在

轴的右边且

到

的距离与它到

轴的距离的差为1.
(1)求

的方程;
(2)过

的直线

与

相交于点

,直线

分别与

相交于点

和

.求

的取值范围.
题号:3799433
题型:解答题
难易度:较难
日期:2017-06-16
来源:【全国百强校】湖南省长沙市雅礼中学2017届高考模拟试卷(二)数学(理)试题
【题文】(本小题满分13分)
品酒师需定期接受酒味鉴别功能测试,一种通常采用的测试方法如下:拿出

瓶外观相同但品质不同的酒让其品尝,要求其按品质优劣为它们排序;经过一段时间,等其记忆淡忘之后,再让其品尝这

瓶酒,并重新按品质优劣为它们排序,这称为一轮测试。根据一轮测试中的两次排序的偏离程度的高低为其评为。
现设

,分别以

表示第一次排序时被排为1,2,3,4的四种酒在第二次排序时的序号,并令

,
则

是对两次排序的偏离程度的一种描述。
(Ⅰ)写出

的可能值集合;
(Ⅱ)假设

等可能地为1,2,3,4的各种排列,求

的分布列;
(Ⅲ)某品酒师在相继进行的三轮测试中,都有

,
(i)试按(Ⅱ)中的结果,计算出现这种现象的概率(假定各轮测试相互独立);
(ii)你认为该品酒师的酒味鉴别功能如何?说明理由。
题号:3799434
题型:解答题
难易度:一般
日期:2017-06-16
来源:【全国百强校】湖南省长沙市雅礼中学2017届高考模拟试卷(二)数学(理)试题
【题文】如图,已知

是半径为2的半球

的直径,

为球面上的两点且

,

.

(1)求证:平面

平面

;
(2)求二面角

的余弦值.
题号:3799435
题型:解答题
难易度:一般
日期:2017-06-16
来源:【全国百强校】湖南省长沙市雅礼中学2017届高考模拟试卷(二)数学(理)试题
【题文】如图,在边长为2的正三角形

中,

为

的中点,

分别在边

上.

(1)若

,求

的长;
(2)若

,问:当

取何值时,

的面积最小?并求出面积的最小值.