适用年级:{{getGradeNameByProperty('高三|高考模拟|吉林|2016年')}} 试卷类型:{{getTestPaperTypeName('高三|高考模拟|吉林|2016年')}} 使用省份:{{getAreaName('高三|高考模拟|吉林|2016年')}}
试卷年份:{{getYear('高三|高考模拟|吉林|2016年')}}上传日期:2016-07-12题数:23
提示:单击题文可显示答案与解析。
题号:729424
题型:选择题
难易度:较易
日期:2016-07-12
来源:【百强校】2016届吉林大学附中高三第二次模拟文科数学试卷(带解析)
【题文】已知集合

为空集,则实数

的取值范围是( )
题号:729425
题型:选择题
难易度:较易
日期:2016-07-12
来源:【百强校】2016届吉林大学附中高三第二次模拟文科数学试卷(带解析)
【题文】已知四棱锥

的顶点都在球

的球面上,底面

是矩形,

,平面

底面

,

为等边三角形,则球面

的表面积为( )
题号:729427
题型:选择题
难易度:一般
日期:2016-07-12
来源:【百强校】2016届吉林大学附中高三第二次模拟文科数学试卷(带解析)
【题文】给定两个命题p,q,若

p是q的必要而不充分条件,则p是

q的( )
| A.充分而不必要条件 | B.必要而不充分条件 |
| C.充要条件 | D.既不充分也不必要条件 |
题号:729428
题型:选择题
难易度:容易
日期:2016-07-12
来源:【百强校】2016届吉林大学附中高三第二次模拟文科数学试卷(带解析)
【题文】下列函数既是奇函数,又在区间

上单调递减的是( )
题号:729429
题型:选择题
难易度:较易
日期:2016-07-12
来源:【百强校】2016届吉林大学附中高三第二次模拟文科数学试卷(带解析)
【题文】2016年3月9日至15日,谷歌人工智能系统“阿尔法”迎战围棋冠军李世石,最终结果“阿尔法”以总比分4比1战胜李世石.许多人认为这场比赛是人类的胜利,也有许多人持反对意见,有网友为此进行了调查,在参加调查的2548名男性中有1560名持反对意见, 2452名女性中有1200名持反对意见,在运用这些数据说明“性别”对判断“人机大战是人类的胜利”是否有关系时,应采用的统计方法是( )
| A.茎叶图 | B.分层抽样 |
| C.独立性检验 | D.回归直线方程 |
题号:729430
题型:选择题
难易度:一般
日期:2016-07-12
来源:【百强校】2016届吉林大学附中高三第二次模拟文科数学试卷(带解析)
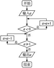
【题文】执行两次下图所示的程序框图,若第一次输入的a的值为

,第二次输入的a的值为1.2,则第一次、第二次输出的a的值分别为( )

| A.0.2,0.2 | B.0.2,0.8 |
| C.0.8,0.2 | D.0.8,0.8 |
题号:729431
题型:选择题
难易度:较易
日期:2016-07-12
来源:【百强校】2016届吉林大学附中高三第二次模拟文科数学试卷(带解析)
题号:729432
题型:选择题
难易度:较易
日期:2016-07-12
来源:【百强校】2016届吉林大学附中高三第二次模拟文科数学试卷(带解析)
【题文】在区间

上随机取一个数

,使直线

与圆

相交的概率为( )
题号:729433
题型:选择题
难易度:较易
日期:2016-07-12
来源:【百强校】2016届吉林大学附中高三第二次模拟文科数学试卷(带解析)
题号:729434
题型:选择题
难易度:容易
日期:2016-07-12
来源:【百强校】2016届吉林大学附中高三第二次模拟文科数学试卷(带解析)
【题文】设集合

,则

等于( )
题号:729420
题型:填空题
难易度:一般
日期:2016-07-12
来源:【百强校】2016届吉林大学附中高三第二次模拟文科数学试卷(带解析)
【题文】已知数列{a
n}满足a
1
1,

.若

,且数列{b
n}是递增数列,则实数λ的取值范围是
.
题号:729421
题型:填空题
难易度:较难
日期:2016-07-12
来源:【百强校】2016届吉林大学附中高三第二次模拟文科数学试卷(带解析)
【题文】函数

的图象如图所示,

是

的导函数,设



,则

由小到大的关系为
.

题号:729422
题型:填空题
难易度:一般
日期:2016-07-12
来源:【百强校】2016届吉林大学附中高三第二次模拟文科数学试卷(带解析)
【题文】已知正方形ABCD的边长为2,E为CD的中点,则

__________.
题号:729423
题型:填空题
难易度:一般
日期:2016-07-12
来源:【百强校】2016届吉林大学附中高三第二次模拟文科数学试卷(带解析)
【题文】若实数x,y满足

则z=3
x+2y的最小值是
.
题号:729426
题型:填空题
难易度:较难
日期:2016-07-12
来源:【百强校】2016届吉林大学附中高三第二次模拟文科数学试卷(带解析)
【题文】将所有正偶数按如下方式进行排列,则2 016位于( )
第1行:2 4
第2行:6 8 10 12
第3行:14 16 18 20 22 24
第4行:26 28 30 32 34 36 38 40
…… …… ……
| A.第30行 | B.第31行 | C.第32行 | D.第33行 |
题号:729393
题型:解答题
难易度:一般
日期:2016-07-12
来源:【百强校】2016届吉林大学附中高三第二次模拟文科数学试卷(带解析)
【题文】选修4-5:不等式选讲
(Ⅰ)求不等式

的解集;
(Ⅱ)已知实数

,求证:

.
题号:729394
题型:解答题
难易度:一般
日期:2016-07-12
来源:【百强校】2016届吉林大学附中高三第二次模拟文科数学试卷(带解析)
【题文】选修4-4:坐标系与参数方程
已知曲线

的参数方程为

(

为参数).以坐标原点为极点,

轴的正半轴为极轴建立极坐标系,曲线

的极坐标方程为

.
(Ⅰ)把

的参数方程化为极坐标方程;
(Ⅱ)求

与

交点的极坐标(

,

).
题号:729396
题型:解答题
难易度:较易
日期:2016-07-12
来源:【百强校】2016届吉林大学附中高三第二次模拟文科数学试卷(带解析)
【题文】已知点

,点

在

轴上,点

在

轴的正半轴上,且满足



,点

在直线

上,且满足


2

=

,
(Ⅰ)当点

在

轴上移动时,求点

的轨迹

的方程;
(Ⅱ)过点

作直线

与轨迹

交于

、

两点,线段

的垂直平分线与

轴的交点为

,设线段

的中点为

,且

,求

的值.
题号:729418
题型:解答题
难易度:一般
日期:2016-07-12
来源:【百强校】2016届吉林大学附中高三第二次模拟文科数学试卷(带解析)
【题文】如图,直三棱柱ABC

A
1B
1C
1的底面是边长为2的正三角形,E,F分别是BC,CC
1的中点.

(Ⅰ)证明:平面AEF⊥平面B
1BCC
1;
(Ⅱ)若直线A
1C与平面A
1ABB
1所成的角为45°,求三棱锥F

AEC的体积.
题号:729419
题型:解答题
难易度:容易
日期:2016-07-12
来源:【百强校】2016届吉林大学附中高三第二次模拟文科数学试卷(带解析)
【题文】已知

的内角

的对边分别为

,且满足

.
(Ⅰ)求

的值;
(Ⅱ)若

,求

的面积.
题号:4181231
题型:解答题
难易度:较易
日期:2016-07-12
来源:【百强校】2016届吉林大学附中高三第二次模拟文科数学试卷(带解析)
【题文】选修4-1:几何证明选讲
如图,过圆

外一点

作一条直线与圆

交于

两点,且

,作直线

与圆

相切于点

,连结

交

于点

,已知圆

的半径为

,

.

(Ⅰ)求

的长;
(Ⅱ)求

的值.
题号:4879993
题型:解答题
难易度:一般
日期:2017-09-06
来源:【百强校】2016届吉林大学附中高三第二次模拟文科数学试卷(带解析)
【题文】已知函数

,g(x)

aln x

x(a

0).
(Ⅰ)求函数f (x)的单调区间;
(Ⅱ)证明:当a > 0时,对于任意x
1,x
2∈(0,e],总有g(x
1) < f (x
2)成立,其中

是自然对数的底数.
题号:4880327
题型:解答题
难易度:一般
日期:2017-09-05
来源:【百强校】2016届吉林大学附中高三第二次模拟文科数学试卷(带解析)
【题文】已知某中学高三文科班学生共有

人参加了数学与地理的水平测试,现学校决定利用随机数表法从中抽取

人进行成绩抽样统计,先将

人按

进行编号.
(Ⅰ)如果从第

行第

列的数开始向右读,请你依次写出最先检测的

个人的编号;(下面摘取了第

行 至第

行)

(Ⅱ)抽的

人的数学与地理的水平测试成绩如下表:
人数
| 数学
|
优秀
| 良好
| 及格
|
地 理
| 优秀
| 7
| 20
| 5
|
良好
| 9
| 18
| 6
|
及格
| 
| 4
| 
|
成绩分为优秀、良好、及格三个等级,横向、纵向分别表示地理成绩与数学成绩,例如:表中数学成绩为良好的共有

人,若在该样本中,数学成绩优秀率为

,求

的值.
(Ⅲ)将

的

表示成有序数对

,求“在地理成绩为及格的学生中,数学成绩为优秀的人数比及格的人数少”的数对

的概率.