适用年级:{{getGradeNameByProperty('高三|高考模拟|甘肃|2014年')}} 试卷类型:{{getTestPaperTypeName('高三|高考模拟|甘肃|2014年')}} 使用省份:{{getAreaName('高三|高考模拟|甘肃|2014年')}}
试卷年份:{{getYear('高三|高考模拟|甘肃|2014年')}}上传日期:2014-10-15题数:21
提示:单击题文可显示答案与解析。
题号:887314
题型:选择题
难易度:一般
日期:2014-10-15
来源:【百强校】2015届甘肃省甘谷一中高三第一次检测考试理科数学试卷(带解析)
【题文】已知a>0且a≠1,若函数f(x)= log
a(ax
2 –x)在[3,4]是增函数,
则a的取值范围是( )
题号:887315
题型:选择题
难易度:一般
日期:2014-10-15
来源:【百强校】2015届甘肃省甘谷一中高三第一次检测考试理科数学试卷(带解析)
【题文】若函数f(x)=

,若f(2-x
2)>f(x),则实数x的取值范围是( )
| A.(-∞,-1)∪(2,+∞) | B.(-2,1) |
| C.(-∞,-2)∪(1,+∞) | D.(-1,2) |
题号:887316
题型:选择题
难易度:一般
日期:2014-10-15
来源:【百强校】2015届甘肃省甘谷一中高三第一次检测考试理科数学试卷(带解析)
【题文】对于函数f(x)定义域中任意的

,

(

≠

),有如下结论:
①f(

+

)=f(

)·f(

)
②f(

·

)=f(

)+f(

)
③

④

当f(x)=lgx时,上述结论中正确结论的序号是( )
题号:887317
题型:选择题
难易度:一般
日期:2014-10-15
来源:【百强校】2015届甘肃省甘谷一中高三第一次检测考试理科数学试卷(带解析)
【题文】为了得到函数

的图象,可以把函数

的图象( )
| A.向左平移3个单位长度 | B.向右平移3个单位长度 |
| C.向左平移1个单位长度 | D.向右平移1个单位长度 |
题号:887318
题型:选择题
难易度:较易
日期:2014-10-15
来源:【百强校】2015届甘肃省甘谷一中高三第一次检测考试理科数学试卷(带解析)
【题文】若存在正数x使2
x(x-a)<1成立,则a的取值范围是( )
| A.(-∞,+∞) | B.(-2,+∞) |
| C.(0,+∞) | D.(-1,+∞) |
题号:887319
题型:选择题
难易度:较易
日期:2014-10-15
来源:【百强校】2015届甘肃省甘谷一中高三第一次检测考试理科数学试卷(带解析)
【题文】若函数y=x
2—3x—4的定义域为[0,m ],值域为[

,-4],则m的取值范围是()
题号:887320
题型:选择题
难易度:一般
日期:2014-10-15
来源:【百强校】2015届甘肃省甘谷一中高三第一次检测考试理科数学试卷(带解析)
【题文】已知函数

,则下列判断中正确的是( )
| A.奇函数,在R上为增函数 |
| B.偶函数,在R上为增函数 |
| C.奇函数,在R上为减函数 |
| D.偶函数,在R上为减函数 |
题号:887321
题型:选择题
难易度:一般
日期:2014-10-15
来源:【百强校】2015届甘肃省甘谷一中高三第一次检测考试理科数学试卷(带解析)
题号:887322
题型:选择题
难易度:一般
日期:2014-10-15
来源:【百强校】2015届甘肃省甘谷一中高三第一次检测考试理科数学试卷(带解析)
【题文】定义在R上的偶函数f(x)满足:对任意x
1,x
2∈[0,+∞)(x
1≠x
2),有

<0,则( )
| A.f(3)<f(-2)<f(1) | B.f(1)<f(-2)<f(3) |
| C.f(-2)<f(1)<f(3) | D.f(3)<f(1)<f(-2) |
题号:887323
题型:选择题
难易度:容易
日期:2014-10-15
来源:【百强校】2015届甘肃省甘谷一中高三第一次检测考试理科数学试卷(带解析)
题号:887324
题型:选择题
难易度:较易
日期:2014-10-15
来源:【百强校】2015届甘肃省甘谷一中高三第一次检测考试理科数学试卷(带解析)
【题文】下列函数中,既是奇函数又是增函数的为( )
题号:887325
题型:选择题
难易度:较易
日期:2014-10-15
来源:【百强校】2015届甘肃省甘谷一中高三第一次检测考试理科数学试卷(带解析)
【题文】“

或

是假命题”是“非

为真命题”的( )
| A.充分而不必要条件 | B.必要而不充分条件 |
| C.充要条件 | D.既不充分也不必要条件 |
题号:887326
题型:选择题
难易度:较易
日期:2014-10-15
来源:【百强校】2015届甘肃省甘谷一中高三第一次检测考试理科数学试卷(带解析)
【题文】函数

的定义域是( )
题号:887327
题型:选择题
难易度:较易
日期:2014-10-15
来源:【百强校】2015届甘肃省甘谷一中高三第一次检测考试理科数学试卷(带解析)
【题文】若集合

,则集合

( )
题号:887291
题型:填空题
难易度:较易
日期:2014-10-15
来源:【百强校】2015届甘肃省甘谷一中高三第一次检测考试理科数学试卷(带解析)
【题文】已知函数f(x)的导数f′(x)=a(x+1)(x-a),若f(x)在x=a处取得极大值,则a的取值范围是________
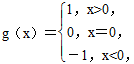
题号:887312
题型:填空题
难易度:一般
日期:2014-10-15
来源:【百强校】2015届甘肃省甘谷一中高三第一次检测考试理科数学试卷(带解析)
【题文】已知函数

则函数f(x)=g(ln x)-ln
2x的零点个数为________.
题号:887313
题型:填空题
难易度:较易
日期:2014-10-15
来源:【百强校】2015届甘肃省甘谷一中高三第一次检测考试理科数学试卷(带解析)
【题文】设函数

,则

______.
题号:887287
题型:解答题
难易度:一般
日期:2014-10-15
来源:【百强校】2015届甘肃省甘谷一中高三第一次检测考试理科数学试卷(带解析)
【题文】(14分)设关于

的函数

,其中

为实数集

上的常数,函数

在

处取得极值0.
(1)已知函数

的图象与直线

有两个不同的公共点,求实数

的取值范围;
(2)设函数

, 其中

,若对任意的

,总有

成立,求

的取值范围.
题号:887288
题型:解答题
难易度:一般
日期:2014-10-15
来源:【百强校】2015届甘肃省甘谷一中高三第一次检测考试理科数学试卷(带解析)
【题文】已知函数f(x)=

-2x
2+lnx,其中a 为常数且a≠0.
(1)若a=1,求函数f(x)的单调区间;
(2)若函数f(x)在区间[1,2]上为单调函数,求a的取值范围.
题号:887289
题型:解答题
难易度:较易
日期:2014-10-15
来源:【百强校】2015届甘肃省甘谷一中高三第一次检测考试理科数学试卷(带解析)
【题文】已知

,

,若

是

的充分而不必要条件,求实数

的取值范围.
题号:887290
题型:解答题
难易度:较易
日期:2014-10-15
来源:【百强校】2015届甘肃省甘谷一中高三第一次检测考试理科数学试卷(带解析)
【题文】命题p:“

”,命题q:“

”,若“p且q”为假命题,求实数a的取值范围。