适用年级:{{getGradeNameByProperty('高三|高考模拟|甘肃|2011年')}} 试卷类型:{{getTestPaperTypeName('高三|高考模拟|甘肃|2011年')}} 使用省份:{{getAreaName('高三|高考模拟|甘肃|2011年')}}
试卷年份:{{getYear('高三|高考模拟|甘肃|2011年')}}上传日期:2011-03-01题数:22
提示:单击题文可显示答案与解析。
题号:1175046
题型:选择题
难易度:一般
日期:2011-03-01
来源:2011届甘肃省武威六中高三第二次模拟考试数学理卷
【题文】设


若对于任意

总存在

使得

成立,则

的取值范围是( )
题号:1175047
题型:选择题
难易度:一般
日期:2011-03-01
来源:2011届甘肃省武威六中高三第二次模拟考试数学理卷
【题文】 已知圆的方程为

,P是圆O上的一个动点,若OP的垂直平分线总是被平面区域

覆盖,则实数

的取值范围是( )
题号:1175048
题型:选择题
难易度:一般
日期:2011-03-01
来源:2011届甘肃省武威六中高三第二次模拟考试数学理卷
题号:1175049
题型:选择题
难易度:一般
日期:2011-03-01
来源:2011届甘肃省武威六中高三第二次模拟考试数学理卷
【题文】.已知A、B、C三点共线,O是该直线外的一点,且满足

,则m的值为( )
A.1 B.2 C.

D.

题号:1175050
题型:选择题
难易度:一般
日期:2011-03-01
来源:2011届甘肃省武威六中高三第二次模拟考试数学理卷
题号:1175051
题型:选择题
难易度:一般
日期:2011-03-01
来源:2011届甘肃省武威六中高三第二次模拟考试数学理卷
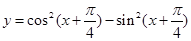
【题文】函数

的最小正周期为( )
题号:1175052
题型:选择题
难易度:一般
日期:2011-03-01
来源:2011届甘肃省武威六中高三第二次模拟考试数学理卷
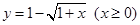
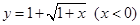
【题文】函数

的反函数为( )
题号:1175053
题型:选择题
难易度:一般
日期:2011-03-01
来源:2011届甘肃省武威六中高三第二次模拟考试数学理卷
【题文】若集合

,则

( )
题号:4212031
题型:选择题
难易度:一般
日期:2013-04-26
来源:2011届甘肃省武威六中高三第二次模拟考试数学理卷
【题文】.已知实数a,b,c,d成等比数列,且对函数

,当x=b时取到极大值c,则ad等于( )
A. | B.0 | C.1 | D.2] |
题号:4212032
题型:选择题
难易度:一般
日期:2013-02-22
来源:2011届甘肃省武威六中高三第二次模拟考试数学理卷
【题文】若两个函数的图象经过若干次平移后能够重合,则称这两个函数为“同形”函数,给出下列四个函数:


,

,

,

则“同形”函数是( )
题号:4212033
题型:选择题
难易度:一般
日期:2012-06-07
来源:2011届甘肃省武威六中高三第二次模拟考试数学理卷
【题文】从双曲线



的左焦点F引圆

的切线
FP交双曲线右

支于点P,T为切点,M为线段FP的中点,O为坐标原点,则

等于( )

题号:4212036
题型:选择题
难易度:一般
日期:2011-03-01
来源:2011届甘肃省武威六中高三第二次模拟考试数学理卷
【题文】已知R上的连续函数g(x)满足:①当x>0

时,

恒成立(

为函数g(x)的导函数);②对任意x∈R都有g(x)=g(-x)。又函数f(x)满足:对任意的x∈R都有f(

+x)=

成立,当x∈[

,

]时,f(x)=

。若关于x的不等式
g[f(x)]≤g(

)对 x∈[-

-2

,

-2

]恒成立,则a的取值范围是
| A.a1或a0 | B.0a | C.  a +  | D.aR |
题号:1175043
题型:填空题
难易度:一般
日期:2011-03-01
来源:2011届甘肃省武威六中高三第二次模拟考试数学理卷
【题文】若

是等

差数列,

是互不相等的正整数,有正确的结论:

,类比上述性质,相应地,若等比数列

,

是互不相等的正整数,有
题号:1175044
题型:填空题
难易度:一般
日期:2011-03-01
来源:2011届甘肃省武威六中高三第二次模拟考试数学理卷
【题文】 已知点
F是椭圆

的右焦点,点
A(4,1)是椭圆内的一点,点
P(
x,
y)是椭圆上的一个动点,则

的最大值是
题号:1175045
题型:填空题
难易度:一般
日期:2011-03-01
来源:2011届甘肃省武威六中高三第二次模拟考试数学理卷
【题文】若

,则
.
题号:4212034
题型:填空题
难易度:一般
日期:2011-03-01
来源:2011届甘肃省武威六中高三第二次模拟考试数学理卷
题号:1174998
题型:解答题
难易度:一般
日期:2011-03-01
来源:2011届甘肃省武威六中高三第二次模拟考试数学理卷
【题文】(本小题满分12分)
设函数

。
(I)求函数

单调区间;
(II)若

恒成立,求a的取值范围;
(III)对任意n的个正整数

(1)求证:

(2)求证:

题号:1174999
题型:解答题
难易度:一般
日期:2011-03-01
来源:2011届甘肃省武威六中高三第二次模拟考试数学理卷
【题文】(本小题满分12分)已知

是x,y轴正方向的单位向量,设

,

且满足

(1)、求点P

(x,y)的轨迹E的方程.
(2)、若直线

过点

且法向量为

,直线与轨迹E交于

两点.点

,无论直线

绕点

怎样转动,

是否为定值?如果是,求出定值;如果不是,请说明理由.并求实数

的取值范围;
题号:1175000
题型:解答题
难易度:一般
日期:2011-03-01
来源:2011届甘肃省武威六中高三第二次模拟考试数学理卷
【题文】(本小题满分12分)
设数列

的前

项和为

.已知

,

,

.
(Ⅰ)设

,求数列

的通项公式;
(Ⅱ)若

,

,求

的取值范围.。
题号:1175001
题型:解答题
难易度:一般
日期:2011-03-01
来源:2011届甘肃省武威六中高三第二次模拟考试数学理卷
【题文】(本小题满分1

2分)
已知函数

有两个实根为

。
(1)求函数

的解析式;
(2)解关

于

的不等式

题号:1175042
题型:解答题
难易度:一般
日期:2011-03-01
来源:2011届甘肃省武威六中高三第二次模拟考试数学理卷
【题文】(本小题满分1

0分)
已知函数

(1)求函数

的最小正周期和图象的对称轴方程;
(2)求函数

在区间

上的值域。
题号:4212035
题型:解答题
难易度:一般
日期:2011-03-01
来源:2011届甘肃省武威六中高三第二次模拟考试数学理卷
【题文】 (本小题满分12分)如图,在四棱锥

中,底面

四边长为1的菱形,

,

,

,

为

的中点,

为

的中点
(Ⅰ)证明:直线

;
(Ⅱ)求异面直线AB与MD所成角的大小;
(Ⅲ)求点B到平面OCD的距离。
