适用年级:{{getGradeNameByProperty('高三|高考模拟|北京|2012年')}} 试卷类型:{{getTestPaperTypeName('高三|高考模拟|北京|2012年')}} 使用省份:{{getAreaName('高三|高考模拟|北京|2012年')}}
试卷年份:{{getYear('高三|高考模拟|北京|2012年')}}上传日期:2012-04-16题数:22
提示:单击题文可显示答案与解析。
题号:1087679
题型:选择题
难易度:较易
日期:2012-04-16
来源:2012届北京高考模拟系列试卷理科数学试卷(带解析)
【题文】函数

的图象大致是 ( )

题号:1087680
题型:选择题
难易度:较难
日期:2012-04-16
来源:2012届北京高考模拟系列试卷理科数学试卷(带解析)
【题文】已知直线

与

轴,

轴分别交于

两点,若动点

在线段

上,则

的最大值为 ( )
A. | B.2 | C.3 | D. |
题号:1087681
题型:选择题
难易度:较易
日期:2012-04-16
来源:2012届北京高考模拟系列试卷理科数学试卷(带解析)
题号:1087682
题型:选择题
难易度:容易
日期:2012-04-16
来源:2012届北京高考模拟系列试卷理科数学试卷(带解析)
【题文】已知向量

,则

等于 ( )
A. | B. | C.25 | D.5 |
题号:1087683
题型:选择题
难易度:容易
日期:2012-04-16
来源:2012届北京高考模拟系列试卷理科数学试卷(带解析)
【题文】若集合

,则

=( )
题号:3496249
题型:选择题
难易度:容易
日期:2012-07-17
来源:2012届北京高考模拟系列试卷理科数学试卷(带解析)
【题文】若

展开式中第四项与第六项的系数相等,则展开式中的常数项的值等于
( )
题号:3496250
题型:选择题
难易度:容易
日期:2012-05-14
来源:2012届北京高考模拟系列试卷理科数学试卷(带解析)
题号:3496252
题型:选择题
难易度:
日期:2012-04-16
来源:2012届北京高考模拟系列试卷理科数学试卷(带解析)
【题文】已知某个几何体的三视图如下,根据图中标出的尺寸(单位:cm),可得这个几何体的体积是( )

题号:3496253
题型:选择题
难易度:
日期:2012-04-16
来源:2012届北京高考模拟系列试卷理科数学试卷(带解析)
【题文】命题“存在

,使

<0,

为假命题”是命题“

”的 ( )
| A.充要条件 | B.必要不充分条件 |
| C.充分不必要条件 | D.既不充分也不必要条件 |
题号:3496254
题型:选择题
难易度:
日期:2012-04-16
来源:2012届北京高考模拟系列试卷理科数学试卷(带解析)
【题文】设A、B两点在河的两岸,一测量者在A的同侧所在的河岸边选定一点C,测出AC的距离为50m,

后,就可以计算出A、B两点的距离为( )
A、

B、

C、

D、

题号:3496255
题型:选择题
难易度:
日期:2012-04-16
来源:2012届北京高考模拟系列试卷理科数学试卷(带解析)
【题文】已知函数

,则对任意

,若

,下列不等式成立的是 ( )
题号:3496256
题型:选择题
难易度:
日期:2012-04-16
来源:2012届北京高考模拟系列试卷理科数学试卷(带解析)
【题文】设双曲线

的两条渐近线与直线

围成的三角形区域(包括边界)为D,P

为D内的一个动点,则目标函数

的最小值为( )
题号:1087676
题型:填空题
难易度:较易
日期:2012-04-16
来源:2012届北京高考模拟系列试卷理科数学试卷(带解析)
【题文】观察下列等式:
1=1 1
3=1
1+2=3 1
3+2
3=9
1+2+3=6 1
3+2
3+3
3=36
1+2+3+4=10 1
3+2
3+3
3+4
3=100
1+2+3+4+5=15 1
3+2
3+3
3+4
3+5
3=225
……
可以推测:1
3+2
3+3
3+…+n
3=
。(

用含有n的代数式表示)
题号:1087677
题型:填空题
难易度:较易
日期:2012-04-16
来源:2012届北京高考模拟系列试卷理科数学试卷(带解析)
【题文】若点

在直线

上,过点

的直线

与曲线

只有一个公共点

,则

的最小值为__________。
题号:1087678
题型:填空题
难易度:容易
日期:2012-04-16
来源:2012届北京高考模拟系列试卷理科数学试卷(带解析)
【题文】抛物线

与直线

所围成的图形的面积是
;
题号:3496257
题型:填空题
难易度:
日期:2012-04-16
来源:2012届北京高考模拟系列试卷理科数学试卷(带解析)
【题文】阅读如图所示程序框图,为使输出的数据为31,则判断框中应填的是
。

题号:1087673
题型:解答题
难易度:容易
日期:2012-04-16
来源:2012届北京高考模拟系列试卷理科数学试卷(带解析)
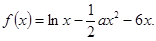
【题文】设函数

(I)当

时,求函数

的单调区间;
(II)令

<

≤

,其图像上任意一点P

处切线的斜率

≤

恒成立,求实数

的取值范围;
(III)当

时,方程

在区间

内有唯一实数解,求实数

的取值范围。
题号:1087674
题型:解答题
难易度:容易
日期:2012-04-16
来源:2012届北京高考模拟系列试卷理科数学试卷(带解析)
【题文】如图,已知

,

分别是正方形

边

、

的中点,

与

交于点

,

、

都垂直于平面

,且

,

,

是线段

上一动点.
(Ⅰ)求证:平面

平面

;
(Ⅱ)若

平面

,试求

的值;
(Ⅲ)当

是

中点时,求二面角

的余弦值.
题号:1087675
题型:解答题
难易度:容易
日期:2012-04-16
来源:2012届北京高考模拟系列试卷理科数学试卷(带解析)
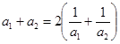
【题文】已知数列

是各项均为正数的等比数列,且

,

。
(I)求数列

的通项公式;(II)设

求数列

的前n项和S
n。
题号:3496251
题型:解答题
难易度:容易
日期:2012-05-14
来源:2012届北京高考模拟系列试卷理科数学试卷(带解析)
【题文】已知向量

(

>0),函数

的最小正周期为

。
(I)求函数

的单调增区间;(II)如果△ABC的三边a、b、c所对的角分别为A、B、C,且满足

求

的值。
题号:3496258
题型:解答题
难易度:
日期:2012-04-16
来源:2012届北京高考模拟系列试卷理科数学试卷(带解析)
【题文】某班同学利用国庆节进行社会实践,对

岁的人群随机抽取

人进行了一次生活习惯是否符合低碳观念的调查,若生活习惯符合低碳观念的称为“低碳族”,否则称为“非低碳族”,得到如下统计表和各年龄段人数频率分布直方图:


(Ⅰ)补全频率分布直方图并求

、

、

的值;
(Ⅱ)从

岁年龄段的“低碳族”中采用分层抽样法抽取

人参加户外低碳体验活动,其中选取

人作为领队,记选取的

名领队中年龄在

岁的人数为

,求

的分布列和期望

。
题号:3496259
题型:解答题
难易度:
日期:2012-04-16
来源:2012届北京高考模拟系列试卷理科数学试卷(带解析)
【题文】已知椭圆


的离心率为

,椭圆短轴的一个端点与两个焦点构成的三角形的面积为

。
(Ⅰ)求椭圆

的方程;
(Ⅱ)已知动直线

与椭圆

相交于

、

两点。
①若线段

中点的横坐标为

,求斜率

的值;
②已知点

,求证:

为定值。