适用年级:{{getGradeNameByProperty('高三|高考模拟|北京|2011年')}} 试卷类型:{{getTestPaperTypeName('高三|高考模拟|北京|2011年')}} 使用省份:{{getAreaName('高三|高考模拟|北京|2011年')}}
试卷年份:{{getYear('高三|高考模拟|北京|2011年')}}上传日期:2011-05-23题数:20
提示:单击题文可显示答案与解析。
题号:1147222
题型:选择题
难易度:一般
日期:2011-05-23
来源:2011届北京市西城区高三一模试卷数学(理科)
【题文】如图,四面体

的三条棱

两两垂直,

,

,

为四面体

外一点.给出下列命题.
①不存在点

,使四面体

有三个面是直角三角形
②不存在点

,使四面体

是正三棱锥
③存在点

,使

与

垂直并且相等
④存在无数个点

,使点

在四面体

的外接球面上
其中真命题的序号是

题号:1147223
题型:选择题
难易度:一般
日期:2011-05-23
来源:2011届北京市西城区高三一模试卷数学(理科)
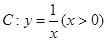
【题文】已知曲线

及两点

和

,其中

.过

,

分别作

轴的垂线,交曲线

于

,

两点,直线

与

轴交于点

,那么
A. 成等差数列 |
B. 成等比数列 |
C. 成等差数列 |
D. 成等比数列 |
题号:1147224
题型:选择题
难易度:一般
日期:2011-05-23
来源:2011届北京市西城区高三一模试卷数学(理科)
题号:1147225
题型:选择题
难易度:一般
日期:2011-05-23
来源:2011届北京市西城区高三一模试卷数学(理科)
【题文】阅读右侧程序框图,为使输出的数据为

,
则①处应填的数字为

题号:1147226
题型:选择题
难易度:一般
日期:2011-05-23
来源:2011届北京市西城区高三一模试卷数学(理科)
题号:1147227
题型:选择题
难易度:一般
日期:2011-05-23
来源:2011届北京市西城区高三一模试卷数学(理科)
题号:1147228
题型:选择题
难易度:一般
日期:2011-05-23
来源:2011届北京市西城区高三一模试卷数学(理科)
【题文】下列给出的函数中,既不是奇函数也不是偶函数的是
题号:1147229
题型:选择题
难易度:一般
日期:2011-05-23
来源:2011届北京市西城区高三一模试卷数学(理科)
题号:1147216
题型:填空题
难易度:一般
日期:2011-05-23
来源:2011届北京市西城区高三一模试卷数学(理科)
【题文】已知数列

的各项均为正整数,对于

,有

当

时,

______;
若存在

,当

且

为奇数时,

恒为常数

,则

的值为______.
题号:1147217
题型:填空题
难易度:一般
日期:2011-05-23
来源:2011届北京市西城区高三一模试卷数学(理科)
【题文】某展室有9个展台,现有

件展品需要展出,要求每件展品独自占用

个展台,并且

件展品所选用的展台既不在两端又不相邻,则不同的展出方法有______种;如果进一步要求

件展品所选用的展台之间间隔不超过两个展位,则不同的展出方法有____种
题号:1147218
题型:填空题
难易度:一般
日期:2011-05-23
来源:2011届北京市西城区高三一模试卷数学(理科)
【题文】一个棱锥的三视图如图所示,则这个棱锥的体积为_____.

题号:1147219
题型:填空题
难易度:一般
日期:2011-05-23
来源:2011届北京市西城区高三一模试卷数学(理科)
【题文】已知椭圆


经过点

,则

______,离心率

______.
题号:1147220
题型:填空题
难易度:一般
日期:2011-05-23
来源:2011届北京市西城区高三一模试卷数学(理科)
【题文】如图,从圆

外一点

引圆

的切线

和割线

,已知

,

,圆心

到

的距离为

,则圆

的半径为_____

题号:1147221
题型:填空题
难易度:一般
日期:2011-05-23
来源:2011届北京市西城区高三一模试卷数学(理科)
【题文】在复平面内,复数

对应的点到原点的距离为_____
题号:1147193
题型:解答题
难易度:一般
日期:2011-05-23
来源:2011届北京市西城区高三一模试卷数学(理科)
【题文】定义


为有限项数列

的波动强度.
(Ⅰ)当

时,求

;
(Ⅱ)若数列

满足

,求证:

;
(Ⅲ)设

各项均不相等,且交换数列

中任何相邻两项的位置,都会使数列的波动强度增加,求证:数列

一定是递增数列或递减数列
题号:1147194
题型:解答题
难易度:一般
日期:2011-05-23
来源:2011届北京市西城区高三一模试卷数学(理科)
【题文】已知抛物线

的焦点为

,过

的直线交

轴正半轴于点

,交抛物线于

两点,其中点

在第一象限.
(Ⅰ)求证:以线段

为直径的圆与

轴相切;
(Ⅱ)若

,

,

,求

的取值范围.
题号:1147195
题型:解答题
难易度:一般
日期:2011-05-23
来源:2011届北京市西城区高三一模试卷数学(理科)
【题文】设

中的内角

,

,

所对的边长分别为

,

,

,且

,

.
(Ⅰ)当

时,求角

的度数;(Ⅱ)求

面积的最大值.
题号:3459370
题型:解答题
难易度:一般
日期:2012-05-23
来源:2011届北京市西城区高三一模试卷数学(理科)
【题文】甲、乙、丙三人独立破译同一份密码,已知甲、乙、丙各自破译出密码的概率分别为

.且他们是否破译出密码互不影响.若三人中只有甲破译出密码的概率为

.
(Ⅰ)求甲乙二人中至少有一人破译出密码的概率;
(Ⅱ)求

的值;
(Ⅲ)设甲、乙、丙三人中破译出密码的人数为

,求

的分布列和数学期望

.
题号:3459371
题型:解答题
难易度:一般
日期:2011-05-23
来源:2011届北京市西城区高三一模试卷数学(理科)
【题文】如图,

是边长为

的正方形,

平面

,

,

,

与平面

所成角为

.
(Ⅰ)求证:

平面

;
(Ⅱ)求二面角

的余弦值;
(Ⅲ)设点

是线段

上一个动点,试确定点

的位置,使得

平面

,并证明你的结论

题号:3459372
题型:解答题
难易度:一般
日期:2012-09-03
来源:2011届北京市西城区高三一模试卷数学(理科)
【题文】已知函数

,其中

.
(Ⅰ)求函数

的单调区间;
(Ⅱ)若直线

是曲线

的切线,求实数

的值;
(Ⅲ)设

,求

在区间

上的最大值.
(其中

为自然对数的底数)