适用年级:{{getGradeNameByProperty('高三|高考模拟|海南|2011年')}} 试卷类型:{{getTestPaperTypeName('高三|高考模拟|海南|2011年')}} 使用省份:{{getAreaName('高三|高考模拟|海南|2011年')}}
试卷年份:{{getYear('高三|高考模拟|海南|2011年')}}上传日期:2011-05-20题数:24
提示:单击题文可显示答案与解析。
题号:1147742
题型:选择题
难易度:一般
日期:2011-05-20
来源:2011届海南省海口市高三下学期高考调研考试文科数学
【题文】.某几何体的三视图如图所示,该几何体的体积为

,则其正视图中x的值为

题号:1147743
题型:选择题
难易度:一般
日期:2011-05-20
来源:2011届海南省海口市高三下学期高考调研考试文科数学
【题文】阅读下侧的算法框图,输出的结果

的值为

题号:1147744
题型:选择题
难易度:一般
日期:2011-05-20
来源:2011届海南省海口市高三下学期高考调研考试文科数学
【题文】直线

经过椭圆

的一个焦点和一个顶点,则该椭圆的离心率为
题号:1147745
题型:选择题
难易度:一般
日期:2011-05-20
来源:2011届海南省海口市高三下学期高考调研考试文科数学
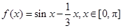
【题文】已知函数

,且

,

.那么下列命题中真命题的序号是
①

的最大值为

②

的最小值为

③

在

上是减函数 ④

在

上是减函数
题号:1147746
题型:选择题
难易度:一般
日期:2011-05-20
来源:2011届海南省海口市高三下学期高考调研考试文科数学
题号:1147747
题型:选择题
难易度:一般
日期:2011-05-20
来源:2011届海南省海口市高三下学期高考调研考试文科数学
题号:4198439
题型:选择题
难易度:一般
日期:2012-07-30
来源:2011届海南省海口市高三下学期高考调研考试文科数学
【题文】复数

(

,

是虚数单位)在复平面上对应的点不可能位于
| A.第一象限 | B.第二象限 | C.第三象限 | D.第四象限 |
题号:4209730
题型:选择题
难易度:一般
日期:2012-07-02
来源:2011届海南省海口市高三下学期高考调研考试文科数学
【题文】已知点M在曲线

上,点N在不等式组

所表示的平面区域上,那么|MN|的最小值是
A. —1 | B. | C.1 | D.2 |
题号:4209733
题型:选择题
难易度:一般
日期:2011-05-20
来源:2011届海南省海口市高三下学期高考调研考试文科数学
题号:4209734
题型:选择题
难易度:一般
日期:2011-05-20
来源:2011届海南省海口市高三下学期高考调研考试文科数学
题号:4209735
题型:选择题
难易度:一般
日期:2011-05-20
来源:2011届海南省海口市高三下学期高考调研考试文科数学
【题文】甲

、乙两名运动员在某项测试中的6次成绩如茎叶图所示,

,

分别表示甲乙两名运动员这项测试成绩的平均数,

,

分别表示甲乙两名运动员这项测试成绩的标准差,则有

题号:4209736
题型:选择题
难易度:一般
日期:2011-05-20
来源:2011届海南省海口市高三下学期高考调研考试文科数学
【题文】 函数

在定义域

内可导,其图象如图所示,记

的导函数为

,则不等式

的解集为

题号:1147699
题型:填空题
难易度:一般
日期:2011-05-20
来源:2011届海南省海口市高三下学期高考调研考试文科数学
【题文】

的值等于 .
题号:1147700
题型:填空题
难易度:一般
日期:2011-05-20
来源:2011届海南省海口市高三下学期高考调研考试文科数学
【题文】.如图,在三棱锥A—BCD中,已知侧面ABD

底面BCD,若

,则侧棱AB与底面BCD所 成的角为 .

题号:1147701
题型:填空题
难易度:一般
日期:2011-05-20
来源:2011届海南省海口市高三下学期高考调研考试文科数学
【题文】已知数列

的通项公式为

,其前n项和为

,则数列

的前10项的和为 .
题号:4209731
题型:填空题
难易度:一般
日期:2012-08-15
来源:2011届海南省海口市高三下学期高考调研考试文科数学
【题文】已知双曲线


与抛物线

有 一个公共的焦点

,且两曲线的一个交点为

,若

,则双曲线方程为 .
题号:1147692
题型:解答题
难易度:一般
日期:2011-05-20
来源:2011届海南省海口市高三下学期高考调研考试文科数学
【题文】(本小题满分10分)选修4-5:不等式选讲
设

(

).
(Ⅰ)当

时,求函数

的定义域;
(Ⅱ)若当

,

恒成立,求实数

的取值范围.
题号:1147693
题型:解答题
难易度:一般
日期:2011-05-20
来源:2011届海南省海口市高三下学期高考调研考试文科数学
【题文】(本小题满分10分)选修4-4:坐标系与参数方程
如图,已知点

,

,圆

是以

为直径的圆,直线

:

(

为参数).

(Ⅰ)写出圆

的普通方程并选取适当的参数改写为参数方程;
(Ⅱ)过原点

作直线

的垂线,垂足为

,若动点

满足

,当

变化时,求点

轨迹的参数方程,并指出它是什么曲线.
题号:1147694
题型:解答题
难易度:一般
日期:2011-05-20
来源:2011届海南省海口市高三下学期高考调研考试文科数学
【题文】(本小题满分12分)
已知函数

,

.依次在

处取到极值.
(Ⅰ)求

的取值范围;
(Ⅱ)若

成等差数列,求

的值.
题号:1147695
题型:解答题
难易度:一般
日期:2011-05-20
来源:2011届海南省海口市高三下学期高考调研考试文科数学
【题文】(本小题满分12分)
如图,点

是椭圆

上一动点,点

是点

在

轴上的射影,坐标平面

内动点

满足:

(

为坐标原点),设动点

的轨迹为曲线

.

(Ⅰ)求曲线

的方程并画出草图;
(Ⅱ)过右焦点

的直线

交曲线

于

,

两点,且

,点

关于

轴的对称点为

,求直线

的方程.
题号:1147696
题型:解答题
难易度:一般
日期:2011-05-20
来源:2011届海南省海口市高三下学期高考调研考试文科数学
【题文】(本小题满分12分)
如图,四棱锥

的底面

为菱形,

平面

,

,

分别为

的中点,

.

(Ⅰ)求证:

平面

.
(Ⅱ)求三棱锥

的体积.
题号:1147697
题型:解答题
难易度:一般
日期:2011-05-20
来源:2011届海南省海口市高三下学期高考调研考试文科数学
【题文】本小题满分12分)
为调查某市学生百米运动成绩,从该市学生中按照男女生比例随机抽取50名学生进行百米测试,学生成绩全部都介于13秒到18秒之间,将测试结果按如下方式分成五组,第一组

,第二组

……第五组

,如图是按上述分组方法得到的频率分布直方图.

(Ⅰ)求这组数据的众数和中位数(精确到0.1);

(II)设

表示样本中两个学生的百米测
试成绩,已知

求事件“

”的概率.
(Ⅲ) 根据有关规定,成绩小于16秒为达标.
如果男女生使用相同的达标标准,则男女生达标情况如下

表
性别 是否达标
| 男
| 女
| 合计
|
达标
| 
| ______
| _____
|
不达标
| _____
| 
| _____
|
合计
| ______
| ______
| 
|
根据上表数据,能否有99%的把握认为“体育达标与性别有关”?若有,你能否提出一个更好的解决方法来?
题号:1147698
题型:解答题
难易度:一般
日期:2011-05-20
来源:2011届海南省海口市高三下学期高考调研考试文科数学
【题文】(本小题满分12分)
已知在

中,角

,

,

的对边的边长分别为

,

,

,且


.
(Ⅰ)求角

的大小;
(Ⅱ)现给出三个条件:①

;②

;③

.
试从中选出两个可以确定

的条件,写出你的选择,并以此为依据求出


的面积.(只需写出一个选定方案即可,选多种方案以第一种方案记分)
题号:4209732
题型:解答题
难易度:一般
日期:2011-05-20
来源:2011届海南省海口市高三下学期高考调研考试文科数学
【题文】
(本小题满分10分)选修4-1:几何证明选讲
如图,已知

与圆

相切于点

,半径

,

交

于点

.

(Ⅰ)求证:

;
(Ⅱ)若圆

的半径为3,

,求

的长度.